Электродинамика движущихся сред и электронная теория
Школа предоставила Майкельсону отпуск на два года, 1881-1882 гг.
Во время этого отпуска Майкельсон построил в Берлине первую модель своего знаменитого интерферометра и произвел его испытание в лаборатории Гельмгольца. Вибрации, вызываемые большим движением шумного города, мешали нормальной работе чувствительного прибора. Майкельсон разобрал его и установил в Потсдаме на прочном кирпичном фундаменте большого телескопа. Результаты своего опыта он опубликовал в 1881 г. в статье «Относительное движение Земли и светоносного эфира». Никакого относительного движения обнаружить не удалось.
Вернувшись в Америку, Майкельсон приступил к исполнению обязанностей профессора школы прикладной науки Кейса в Кливленде. Здесь он в сотрудничестве с профессором химии соседнего университета Эдвардом Морли (1838—1923) начал готовить повторение своего эксперимента. Предварительно они повторили опыт физо с измерением скорости света в движущейся воде и результаты опубликовали в 1886 г. в статье «Влияние движения среды на скорость света». Опыт с большой точностью подтвердил результат физо 1851 г. В этой же работе они определили коэффициент увлечения Френеля.
Затем они повторили опыт по изучению влияния движения Земли на распространение света. Интерферометр был смонтирован на каменной плите толщиной 30 см. Плита плавала в ртути на кольцеобразной деревянной подставке. На ней было установлено четыре зеркала, так что общий оптический путь интерферирующих пучков в результате многократного отражения увеличивался до 11 м (почти в 10 раз больше, чем в первом опыте). Опыты были закончены в июле 1887 г. Результат оказался также отрицательным, ожидаемого смещения почти не наблюдалось. Статья Майкельсона и Морли «Об относительном движении Земли и светоносного эфира» была опубликована в 1887 г.

Рис. 51. Схема опыта Майкельсона - Морли
В этом же году Герц начал свои знаменитые опыты, а Майкельсон и Морли опубликовали еще одну работу «О методе использования длины волны света натрия в качестве естественного и практического эталона длины». Она предшествовала классическим опытам Майкельсона по сравнению эталона метра с длиной волны красной линии кадмия, которые Майкельсон проводил в Париже в 1892 г. К этому времени Майкельсон был уже профессором университета Кларка. После этих экспериментов он перешел в Чикагский университет, где в 1894 г. была открыта Райерсоновская физическая лаборатория. Здесь Майкельсон остался до конца своих дней, продолжая работы по изготовлению спектроскопических приборов большой разрешающей способности (эшелон Майкельсона), измерению диаметра звезд и опыты по новому определению скорости света.
Майкельсон умер 9 мая 1931 г. За несколько месяцев до смерти, в январе 1931 г., он встретился на конференции в Пасадене с Эйнштейном.
Опыт Майкельсона был подробно описан и проанализирован Г. А. Лоренцем в статье «О влиянии движения Земли на световые явления», опубликованной в «Известиях Амстердамской Королевской академии наук» в 1886 г. за год до опыта Майкельсона и Мор-ли. французский текст этой статьи был опубликован в 1887 г. Этой статьей Лоренц начал цикл своих работ, посвященных электродинамике и оптике движущихся сред. Ее содержание было повторено в лекциях по теоретической физике («Теория и модели эфира»), вышедших на немецком языке в 1907 г., на английском — в 1927 г., на русском — в 1936 г. В этой статье Лоренц указывал на ошибку в расчете Майкельсона: Майкельсон считал, что свет в направлении, перпендикулярном движению Земли, распространяется так же, как если бы Земля и аппарат были неподвижны. Исправив эту ошибку, Лоренц показал, что ожидаемое смещение полос должно быть значительно меньше, чем предполагал Майкельсон, и будет составлять только — часть ширины полосы, что ниже предела достоверной наблюдаемости. Но в 1887 г. Майкельсон и Морли сделали прибор значительно чувствительнее, и, как было уже сказано, результат был вновь отрицательным. Это противоречило всем сложившимся к тому времени теориям, за исключением теории, созданной в 1890 г. Герцем.
В 1890 г. Герц опубликовал две статьи: «Об основных уравнениях электродинамики в покоящихся телах» и «Об основных уравнениях электродинамики для движущихся тел». Эти статьи содержали исследования о распространении «лучей электрической силы» и в сущности давали то каноническое изложение максвелловской теории электрического поля, которое вошло с тех пор в учебную литературу.
В первой из этих статей Герц указывает, что теория Максвелла при своем зарождении была загромождена «лесами» (имеется в виду образ строительных лесов), которые необходимо было убрать. К числу таких лесов он относил и «господство вектор-потенциала в основных уравнениях». Его основные уравнения связывают непосредственно компоненты напряженностей электрических и магнитных полей, именно эти уравнения мы называем теперь «уравнениями Максвелла». Герц считает их фундаментальными законами, не выводимыми из каких-либо других фундаментальных принципов или с помощью воображаемых механизмов.
Во второй статье Герц для получения уравнений электродинамики движущихся тел делает основное предположение, что эфир, находящийся внутри движущейся материи, движется одновременно с ней. Эта гипотеза полного увлечения эфира самым естественным образом объясняет отрицательный результат опыта Майкельсона. Однако она противоречит другим фактам: аберрации, опыту физо, опытам Рентгена и Эйхенвальда в электродинамике. Лоренц рассматривает оптические опыты в указанной выше статье, а также в большой программной работе 1895 г. «Опыт теории оптических и электрических явлений в движущихся телах». Этими работами Лоренц закладывает основы электронной теории.
Гендрик Антон Лоренц родился 18 июля 1853 г. в небольшом голландском городе Арнхеме. Он учился в Лейденском университете, где в 1875 г. получил докторскую степень. Здесь он занимал пост профессора специально для него учрежденной кафедры теоретической физики. В 1912 г. Лоренц ушел на должность экстраординарного профессора кафедры и предложил своим преемником жившего тогда в России П. С. Эренфеста. Эренфест заведовал кафедрой в Лейдене с осени 1912 г. до своей трагической кончины осенью 1933 г. Лоренц в 1923 г. занял должность директора научного института в Гарлеме. С момента учреждения Сольвеевского фонда Лоренц был неизменным председателем Сольвеевских конгрессов. Скончался Лоренц 4 февраля 1928 г.
В историю физики Лоренц вошел как создатель электронной теории, в которой синтезировал идеи теории поля и атомистики. Идея атома электричества, как мы знаем, начинается с фара-дея, с его законов электролиза.
Максвелл в своем «Трактате» также приходит к идее атомного, или, как он выражается, молекулярного, заряда. Этот заряд он называет «молекулой электричества» и пишет, что «эта теория молекулярных зарядов может служить для выражения большого числа фактов электролиза; но,— добавляет Максвелл, — мало вероятно, чтобы к тому времени, когда мы познаем истинную природу электролиза, мы сохраним хоть что-нибудь из теории молекулярных зарядов; тогда у нас будет твердая основа для того, чтобы создать истинную теорию электрического тока и освободиться от этих представлений».
Максвелл полагал, что в будущем полевые представления сделают излишними представления о дискретности заряда. Он ошибся. Наука сохранила и развила представление об атомности электричества. В 1874 г. ирландский физик Джонсон Стоней (1826—1911) самым решительным образом высказался в защиту представления об элементарном заряде. В докладе «О физических единицах природы», прочитанном на съезде Британской ассоциации в Белфасте, он говорил: «Наконец, природа дает нам одно, вполне определенное количество электричества, независимое от рассматриваемых тел. Чтобы выяснить это, я формулирую закон Фарадея в следующих выражениях, которые, как я покажу, придадут ему ясность. На каждую химическую связь, разорванную внутри электролита, приходится определенное, всегда одинаковое количество электричества, прошедшее через электролит. Это определенное количество электричества я назову E1. Если мы примем его за единицу электричества, мы, вероятно, сделаем весьма большой шаг в изучении молекулярных явлений». Позднее (1891) Стоней ввел название «электрон» для величины E1.
В 1881 г. Гельмгольц в речи, посвященной фарадею, высказал его идею об атомности электричества в четко определенной форме: «Если мы допускаем существование химических атомов, то мы принуждены заключить отсюда далее, что также и электричество, как положительное, так и отрицательное, разделяется на определенные элементарные количества, которые играют роль атомов электричества». Это элементарное количество электричества Гельмгольц назвал электрическим зарядом иона. Стоней указал на свой приоритет в интерпретации закона Фарадея, однако, как мы видели, приоритет принадлежит самому фарадею.
Следует отметить, что речь Гельмгольца сыграла очень важную роль в развитии представления об электрическом заряде, она фигурировала в многочисленных статьях и книгах как первоисточник этого представления, и, может быть, большая популярность Гельмгольца была причиной того, что собственные высказывания фарадея были по существу забыты.
Лоренц начал вводить в теорию электричества атомистику еще в ранних своих работах. В теории Максвелла свойства среды, в которой разыгрываются электромагнитные и оптические явления, описываются феноменологически коэффициентами, определяемыми из опыта. Лоренц уже в докторской диссертации (1875) «Об отражении и преломлении лучей света» пытается обосновать изменение в скорости распространения света в среде влиянием наэлектризованных частичек тела. Под действием световой волны заряды молекул приходят в колебательное движение и становятся источниками вторичных электромагнитных волн. Эти волны, интерферируя с первичными, и обусловливают преломление и отражение света. Здесь уже намечены те идеи, которые приведут к созданию электронной теории дисперсии света.
В следующей статье — «О соотношении между скоростью распространения света и плотностью и составом среды», опубликованной в 1878 г., Лоренц выводит знаменитое соотношение между показателем преломления и плотностью среды, известное под названием «формулы Лоренц — Лоренца», поскольку датчанин Л. Лоренц независимо от Гендрика Лоренца пришел к тому же результату. В этой работе Лоренц развивает электромагнитную теорию дисперсии света с учетом того, что на молекулярный заряд, кроме поля волны, действует поле поляризованных частиц среды.
В 1892 г. Лоренц выступил с большой работой «Электромагнитная теория Максвелла и ее приложение к движущимся телам». В этой работе уже намечены основные контуры электронной теории. Мир состоит из вещества и эфира, причем Лоренц называет веществом «все то, что может принимать участие в электрических токах, электрических смещениях и электромагнитных движениях». «Все весомые тела состоят из множества положительно и отрицательно заряженных частиц, и электрические явления порождаются смещением этих частиц».
Лоренц выписывает далее выражение силы, с которой электрическое поле действует на движущийся заряд. В векторной форме и в гауссовых единицах сила, действующая на единицу объема заряженного тела (плотность силы) со стороны поля, равна:
Лоренц делает фундаментальное предположение — эфир в движении вещества участия не принимает (гипотеза неподвижного эфира). Это предположение прямо противоречило гипотезе Герца о полностью увлекаемом движущимися телами эфире. В предположении о неподвижном эфире Лоренц выводит, что скорость света в движущемся теле с показателем преломления v равна:
где ω 0 — скорость света в покоящемся теле, р —скорость движения тела.
Множитель
есть в точности коэффициент увлечения, который был введен Френелем в теории аберрации и который был подтвержден опытами физо, Майкельсона и Морли.
Таким образом, коэффициент увлечения, введенный Френелем, и опыт физо с движущейся водой интерпретируются Лоренцем как результат движения заряженных частиц вещества через неподвижный эфир. Однако об опыте Майкельсона и Морли Лоренц здесь ничего не говорит. Этому опыту он посвящает опубликованную в том же, 1892 г. заметку «Относительное движение Земли и эфира». В ней он описывает единственный, по его мнению, способ согласовать результат опыта с теорией Френеля, т. е. с теорией неподвижного эфира. Этот способ состоит в предположении, что линия, соединяющая две точки твердого тела, если она сначала была параллельна движению Земли, не сохраняет ту же самую длину, когда она затем поворачивается на 90°.
Если, как указывает Лоренц, длина в перпендикулярном направлении была l, то в направлении движения она будет l(1 —а), и если
,
где р —скорость Земли, v — скорость света, то отрицательный результат опыта Майкельсона становится объяснимым. Так появилось знаменитое
сокращение Лоренца, которое, как выяснил Лоренц позже, было предложено также фицджеральдом.
В своей статье Лоренц указывает, что его гипотеза не является невероятной и молекулярные силы, если они сводятся к электрическим, изменяются при движении тела через эфир так, что опыт Майкельсона становится объяснимым. Хотя Лоренц и понимает, что сведение молекулярных сил к электрическим является «чересчур смелым», он все же сохраняет гипотезу сокращения.
Это очень существенный факт с исторической точки зрения. Если принять, что основной силой природы является сила Лоренца, к которой, за исключением тяготения, сводятся все известные в то время взаимодействия частиц, то вполне объяснимо сокращение размеров тел при движении, а тем самым и отрицательный результат опыта Майкельсона. Релятивистское изменение масштабов
где β = v/c, в теории Лоренца является следствием определенных физических предпосылок. Заметим, что электродинамика дала и другой релятивистский результат: зависимость массы и энергии. Этот результат был получен в 1881 г. двадцатипятилетним Джозефом Джоном Томсоном (1856— 1940) и опубликован в апреле 1881 г. в статье «Об электрическом и магнитном эффекте, обусловленном движением наэлектризованных тел».
Томсон вычисляет поле заряженной сферы, движущейся с некоторой скоростью. Характер этого поля зависит от скорости: при малых скоростях электрическое поле шара совпадает с электростатическим, магнитное поле — c полем элемента тока. При увеличении скорости силовые линии электрического поля «сдуваются» в экваториальную плоскость, поле деформируется. Вместе с тем возникает дополнительная электромагнитная масса заряда, которая при малых скоростях равняется 2/3* (e)2/a , где е — заряд сферы в электромагнитных единицах, a — радиус сферы. При приближении скорости к скорости света масса возрастает до бесконечности. «Другими словами, — пишет Томсон, — невозможно возрастание скорости заряженных тел, движущихся через диэлектрик, до скорости, большей скорости света». Таким образом, и релятивистский вывод о предельном значении скорости света был получен еще за два года до рождения Эйнштейна.
Итак, в конце XIX в. были получены важнейшие результаты специальной теории относительности: сокращение длин, зависимость массы от скорости, связь массы и энергии (с точностью до постоянного множителя), предельное значение скорости света. Но эти результаты были получены в предположении электромагнитной картины мира. Мир —это эфир, в котором плавают заряженные частицы. Законы мира: законы электродинамики Максвелла и механики Ньютона.
Следовательно, электродинамика движущихся сред не вела с необходимостью к теории относительности, хотя исторически так и произошло. Опыт Майкельсона и релятивистские эффекты были следствием законов электродинамики Максвелла—Лоренца Более того, сами релятивистские преобразования, из которых вытекали все релятивистские эффекты, были получены в электродинамике за несколько лет до Эйнштейна.
В 1895 г. вышла фундаментальная работа Лоренца «Опыт теории электрических и оптических явлений в движущихся телах». В этой работе Лоренц дает систематическое изложение своей электронной теории. Правда, слово «электрон» в ней еще не встречается, хотя элементарное количество электричества было уже названо этим именем. Лоренц просто говорит о заряженных положительно или отрицательно частичках материи — ионах и свою теорию соответственно называет «ионной теорией». «Я принимаю, — пишет Лоренц, — что во всех телах находятся маленькие заряженные электричеством материальные частицы (Massentcibchen) и что все электрические процессы основаны на конфигурации и движении этих «ионов». Лоренц указывает, что такое представление общепринято для явлений в электролитах и что последние исследования электрических разрядов показывают, что «в электропроводности газов мы имеем дело с конвекцией ионов».
Другое предположение Лоренца заключается в том, что эфир не принимает участия в движении этих частиц и, следовательно, материальных тел, он неподвижен. Эту гипотезу Лоренц возводит к Френелю. Лоренц подчеркивает, однако, что речь идет не об абсолютном покое эфира, такое выражение он считает бессмысленным, а о том, что части эфира покоятся друг относительно друга и что все действительные движения небесных тел являются движениями относительно эфира.
Электромагнитное состояние эфира описывается векторами диэлектрического смещения и напряженностью магнитного поля. Эти векторы Лоренц обозначает готическими буквами. Мы будем обозначать их латинскими буквами. Уравнения электронной теории Лоренца мы выпишем в той окончательной форме, которую Лоренц им придал в своей статье 1903 г. «Электронная теория», в «Энциклопедии математических наук» и в книге «Теория электронов». В свободном (не заполненном веществом) эфире
в тех точках, где находятся заряды, распределенные с объемной плотностью р,
Если заряды движутся со скоростью v, имеется уравнение непрерывности:
Движение электричества и изменение электрического смещения во времени создают магнитное поле, описываемое уравнением:
Другое основное уравнение, связывающее электрическое и магнитное поле:
Далее Лоренц выписывает закон силы, ныне называемой силой Лоренца:
Во всех этих уравнениях Лоренц пользовался рационализированной гауссовой системой единиц, введенной Хевисайдом, и уравнениями электромагнитного поля в той форме, которую им придал Герц. В своей статье «Опыт теории электрических и оптических явлений в движущихся телах» он еще применяет громоздкие обозначения и не до конца рационализированную систему единиц. Однако именно в этой статье впервые была написана система основных уравнений электронной теории. Хотя эти уравнения еще не приняли окончательную форму и самый термин «электронная теория» еще не употреблялся Лоренцем, именно работа 1895 г. является первым систематическим изложением электронной теории.
Использованные Лоренцем рационализированные системы были введены английским физиком Оливером Хевисайдом (1850—1925). Хевисайд с 1885 г. публиковал в английском журнале «Электричество» («The Electrician») цикл статей по электромагнитной теории Их продолжение, печатавшееся частями, составило трехтомный труд «Электромагнитная теория». В нем Хевисайд широко использует векторный анализ, операционные методы и рациональные единицы. Во второй том он включил специальное приложение о рациональных единицах, где поместил свою переписку с Лоджем по этому вопросу и краткий отчет о дискуссии в «Электричестве» осенью 1895 г.
Пропаганда Хевисайда в пользу рациональной системы встретила сильных противников, как показала дискуссия, о которой Хевисайд пишет во втором томе. Тем не менее Хевисайд считает, что то, что сделано, «представит вопрос рационализации в ином свете для некоторых народов». Голландец в лице Лоренца поддержал идею рационализации единиц, и Лоренц во всех своих трудах пользовался единицами Хевисайда. В принятой сегодня системе единиц СИ рациональная система соединена с практической.
Возвратимся к Лоренцу и его «Опыту». Лоренц рассматривает уравнения электромагнитного поля в движущихся телах, переходя от неподвижных координат к подвижным. При этом Лоренц наряду с обычным временем t рассматривает чисто формальное «местное время»
Уравнения поля при таком преобразовании оказываются, если пренебречь членами второго порядка относительно v/c, такими же, как и в неподвижной системе. Лоренц формулирует свой вывод следующим образом: «Пусть для покоящейся системы тел известно состояние движения, для которого Dx, Dy, Dz, Ех, Еу, Ez, Hx, Hy, Hz суть данные функции х, у, г, и t, тогда в той же системе, если она движется со скоростью р, существует состояние движения, в котором Dx', Dy', Dz', Ех, Еу, Ег, Hx', Ну', Нz' точно такие же функции х, у, z и t
Применяя этот вывод к оптическим явлениям на движущейся Земле, Лоренц формулирует положение, которое позже стали называть принципом относительности первого порядка. «По нашей теории движение Земли не оказывает никакого влияния первого порядка на опыты с земными источниками света».
Теория Лоренца объясняет кажущееся увлечение эфира движущейся жидкостью в опыте физо. Что же касается опыта Майкельсона, которому Лоренц посвящает три параграфа своей книги, то он находит свое объяснение в гипотезе Лоренца — фицдже-ральда о сокращении размеров в направлении движения в отношении
Параграфы книги Лоренца (91 и 92), посвященные гипотезе, целиком приводит Лармор в своей книге «Эфир и материя»
Джозеф Лармор, воспитанник Кембриджа, известен открытием так называемой «прецессии Лармора». Электрон, вращающийся по орбите, совершает в магнитном поле дополнительное, прецессиальное вращение вокруг силовых линий магнитного поля с угловой скоростью
ω = (e/2m) H, где заряд е и напряженность магнитного поля H измерены в абсолютных электромагнитных единицах. С помощью этой прецессии
Лармор объяснил нормальный эффект Зеемана.
В вышедшей в 1900 г. книге «Эфир и материя» Лармор, так же как и Лоренц, рассматривает взаимоотношение материи и эфира. Так же как и у Лоренца, частицы материи у него «электрифицированы» и связь материальных частиц через эфир осуществляется электромагнитными силами. Но Лармор считает частицы материи особенностями в эфире, имеющими специфическую структуру. Ядро этого особого образования может двигаться в эфире, оставляя самый эфир неподвижным. Вместе с этим ядром движется и создаваемое им напряжение, характеризуемое вектором с компонентами f, g, h. Этот вектор не что иное, как вектор напряженности электрического поля. Другая особенность в эфире имеет вращательный характер и порождает вихревое поле, характеризуемое вектором с компонентами а, Ъ, с, который представляет собой не что иное, как вектор магнитной индукции. Связь между обоими полями выражается уравнениями Максвелла. Лармор показывает, что форма этих уравнений остается неизменной и для движущейся системы, если связь между координатами движущейся и неподвижной систем определяется уравнениями:

Так в истории физики появляются преобразования, названные преобразованиями Лоренца. Лоренц их написал в 1904 г. и притом еще не совсем правильно. Лармор написал их именно в том виде, в котором они сегодня употребляются в специальной теории относительности. Более того, Лармор показывает, что скорость распространения световой волны в движущейся среде выражается не формулой V°~-^-, где п — показатель преломления, а более сложной, в которую входит скорость движения среды:
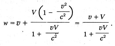
Если скорость сложить со скоростью потока, то абсолютная скорость световой волны будет:
Это релятивистская формула сложения скоростей. Как видим, она содержалась в книге Лармора более чем за пять лет до теории относительности Эйнштейна. Лармор, опираясь на свою формулу, дал истолкование опыту физо и коэффициенту увлечения Френеля. По формуле Лармора можно записать:
Первые два члена дают для скорости света в движущейся среде величину:
что объясняет опыт физо и дает коэффициент увлечения Френеля. «Оставшийся член, — пишет Лармор,— дает поправку второго порядка согласно нашей гипотезе, которая включает отрицательный результат опыта Майкельсона».
Таким образом, Лармор полностью решил проблему электродинамики движущихся сред и объяснил все оптические эффекты: аберрацию, опыт физо, опыт Майкельсона. Он, так же как и Лоренц, приходит к выводу, что движение материальной системы через эфир изменяет незначительно ее размеры. Здесь он солидарен с фицджеральдом и Лоренцем.
Лоренц стал развивать идеи, изложенные им в «Опыте теории электрических и оптических явлений в движущихся телах», совершенствуя и углубляя свою теорию. В 1899 г. он выступил со статьей «Упрощенная теория электрических и оптических явлений в движущихся телах», в которой упростил теорию, данную им в «Опыте», введя следующие преобразования:
Эти результаты его не удовлетворили, и в 1904 г. он выступил с основополагающей статьей «Электромагнитные явления в системе, движущейся со скоростью, меньшей скорости света». Здесь Лоренц выписывает уравнения электронной теории в той современной форме, которая была дана им в 1903 г. в статье в «Математической энциклопедии» и которой еще не было в его работах 1895, 1899 гг. Он взял и новые преобразования координат и времени, записав их в виде:
с - w
Эти преобразования Лоренца значительно хуже преобразований Лармора(), и полной инвариантности уравнений электронной теории Лоренцу достигнуть не удалось, уравнение div d = p переходило в уравнение
Лоренц в 1912 г., переиздавая эту работу, в примечаниях признал, что ему не удалось полностью совместить свою теорию с принципом относительности. «С этим обстоятельством,— писал Лоренц, — связана беспомощность некоторых дальнейших рассуждений в этой работе».
В своей работе Лоренц делает ряд допущений. Важнейшими из них, кроме гипотезы неподвижного эфира, являются следующие: гипотеза об уравнениях преобразования координат и времени, гипотеза о деформации электрона. Лоренц считал, что неподвижный электрон имеет форму равномерно заряженной сферы, при движении же электрона «размеры в направлении движения уменьшаются в kl раз, а размеры в перпендикулярном движению направлении — в I раз». Далее Лоренц считает, что силы, действующие между независимыми частицами, «подвергаются изменению точно таким же образом, как электрические силы электростатической системы». Отсюда получается сокращение Лоренца— Фицджеральда и объяснение опыта Майкельсона.
Движущийся электрон будет обладать инерцией. «В процессах, при которых возникает ускорение в направлении движения, электрон ведет себя так, как будто он имеет массу m1,2 а при ускорении в направлении, перпендикулярном к движению, так, как будто он обладает массой т2. Величинам m1, и m2 поэтому удобно дать название «продольной» и «поперечной» электромагнитной масс. Я полагаю, что, кроме этой, нет никакой «действительной» или «материальной» массы».
Итак, масса, ньютоновское количество материи, стала электромагнитной, зависящей от скорости. У Лоренца продольная и поперечная массы соответственно равны:
Заметим, что в работах Лоренца, в том числе в работе 1904 г., никакого принципа относительности не встречается. Позже, уже после создания теории относительности, он в своих лекциях о принципе относительности, прочитанных в 1910 и 1912 гг., писал после описания результата Майкельсона: «Все нулевые эффекты таких экспериментов могут быть объяснены из основных уравнений теории электронов, но для некоторых из них нужно прибегнуть к помощи дополнительных гипотез». Это Лоренц и сделал в своей работе 1904 г. и более ранних работах 1887 и 1895 гг.
Знаменитый французский математик и астроном Анри Пуанкаре (1854— 1912) в 1900 г. на Парижском конгрессе физиков порицал Лоренца за пренебрежение принципом относительности. Сам он в опубликованной в 1905 г. статье «К динамике электрона» указывает, что нулевой результат опыта по обнаружению движения Земли «представляет, по-видимому, общий закон природы».
Пуанкаре пишет преобразования Лоренца в виде:
где s — скорость движения системы, измеренная в единицах скорости света.
Пуанкаре доказывает, что преобразования Лоренца образуют группу, при этом I оказывается равным 1. Пуанкаре принадлежит и само название «преобразования Лоренца». Изучая следствия из этих преобразований, Пуанкаре находит формулу сложения скоростей, формулу преобразований напряженностей электрического и магнитного полей, плотности заряда, плотности тока и по существу уже получает четырехмерную релятивистскую электродинамику.
Важно, однако, подчеркнуть, что Лоренц, Лармор, Пуанкаре развили свои теории на базе классической электродинамики, опираясь на концепцию эфира. Их интересовало объяснение на этой основе фундаментальных опытов оптики и электродинамики движущихся сред. Им удалось найти такое объяснение и подходящий математический аппарат. Но будет ли пригодно это объяснение для неэлектромагнитных сил, этого они не знали. До понимания принципа относительности как всеобщего закона природы они еще не дошли.() Вопрос о постоянстве и особенно предельном значении скорости света, имеющий фундаментальное значение для разработки новых представлений о пространстве и времени, ими не поднимался. Глубокое понимание принципа относительности и выработка в связи с этим новых представлений о пространстве и времени принадлежат Эйнштейну, который и является подлинным создателем теории относительности.